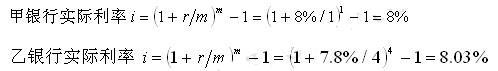
某企业向银行借款,甲银行年利率8%,每年计息一次;乙银行年利率7.8%,每季度计息一次。则( )。
- A.甲银行实际利率低于乙银行实际利率
- B.甲银行实际利率高于乙银行实际利率
- C.甲乙两银行实际利率相同
- D.甲乙两银行的实际利率不可比
正确答案及解析
正确答案
A
解析

包含此试题的试卷
你可能感兴趣的试题
监理单位在工程勘察阶段提供相关服务时,向建设单位提交的工程勘察成果评估报告中应包括的内容有( )
-
- A.勘察报告编制深度
- B.勘察任务书的完成情况
- C.与勘察标准的符合情况
- D.勘察人员资格和业绩情况
- E.勘察工作概况
- 查看答案
在常用的工程质量控制的统计方法中,可以用来系统整理分析某个质量问题及其产生原因之间关系的方法是( )。
-
- A.相关图法
- B.树枝图法
- C.排列图法
- D.直方图法
- 查看答案
某工程单代号搭接网络计划如下图所示,其中B 和D 工作的最早开始时间是()。

-
- A.4和4
- B.6和7
- C.2和0
- D.2和2
- 查看答案
卓越绩效评价准则与ISO9000的相同点是( )。
-
- A.基本原理
- B.导向
- C.驱动力
- D.目标
- 查看答案
工程建设过程中,形成工程实体质量的阶段是()阶段。
-
- A.决策
- B.勘察
- C.施工
- D.设计
- 查看答案