某工程由4个施工过程组成,分为4个施工段进行流水施工,其流水节拍(天)见表2—7,则流水施工工期为()天。

- A.17天
- B.18天
- C.19天
- D.20天
正确答案及解析
正确答案
C
解析
2021/2020教材P32-34
本题考查的是流水施工工期的确定。
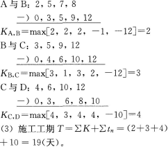
(1)求各施工过程流水节拍的累加数列:
施工过程A:2,5,7,8
施工过程B:3,5,9,12
施工过程C:4,6,10,12
施工过程D:3,6,8,10
(2)错位相减求得流水步距:

你可能感兴趣的试题
根据英国NEC《工程施工合同》,关于风险预警机制早期警告的说法,正确的是()。
-
- A.项目经理和承包商都可以要求召开早期预警会议
- B.早期预警会议应由雇主主持
- C.可以邀请地方行政机关代表参加会议
- D.项目经理应对会议作出的决定记录在案,会后发给承包商
- E.承包商未对某事件发出早期警告的,可适当减少承包商应得的补偿
- 查看答案
根据FIDIC《施工合同条件》,为了不损害承包商的合法利益,关于指定分包商的说法,正确的有()。
-
- A.指定分包商的工作内容由工程师和承包商协商确定
- B.承包商对指定分包商的违约不承担责任
- C.给指定分包商支付工程款不从承包商的中标价中支出
- D.承包商对指定分包商的施工协调收取相应的管理费
- E.招标文件中已说明指定分包商的工作内容
- 查看答案
根据《机电产品采购国际竞争性招标文件》,卖方应在设备包装箱相邻的四面不可擦除的油漆和明显的英语字样标出该包装箱的()。
-
- A.重心
- B.合同号
- C.目的港
- D.起吊点
- E.发货标记
- 查看答案
建设工程材料设备采用非即时买卖合同的种类有()。
-
- A.货样买卖
- B.分期交付买卖
- C.试用买卖
- D.异地交付买卖
- E.分期付款买卖
- 查看答案
根据《标准设计施工总承包合同》,关于竣工后试验的说法,正确的有()。
-
- A.发包人应将竣工后试验的日期提前21天通知承包人
- B.发包人在场的情况下承包人进行竣工后试验
- C.竣工后试验由监理人组织发包人和承包人进行
- D.监理人在竣工后试验合格时向承包人签发工程接收证书
- E.竣工后试验通常在缺陷责任期内工程稳定运行一段时间后进行
- 查看答案