如图所示,用力法且采用图(b)所示的基本体系计算图(a)所示梁,Δ1P为( )。


- A.见图A
- B.见图B
- C.见图C
- D.见图D
正确答案及解析
正确答案
D
解析
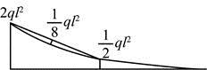
作出在基本体系下荷载的弯矩图,以及在基本结构体X1为单位力时的弯矩图。如图所示。则将要计算部分化成标准抛物线及三角形,正方形后,计算Δ1P,则


如图所示,用力法且采用图(b)所示的基本体系计算图(a)所示梁,Δ1P为( )。


作出在基本体系下荷载的弯矩图,以及在基本结构体X1为单位力时的弯矩图。如图所示。则将要计算部分化成标准抛物线及三角形,正方形后,计算Δ1P,则

