如图a所示桁架,EA为常数,取图b为力法基本体系,则力法方程系数间的关系为( )。

- A.δ22<δ11,δ12>0
- B.δ22>δ11,δ12>0
- C.δ22<δ11,δ12<0
- D.δ22>δ11,δ12<0
正确答案及解析
正确答案
B
解析
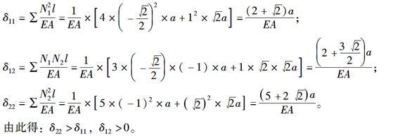
解法一:利用结构力学基本概念求解。对X1、X2的作用位置进行分析可知,X2作用点的水平侧移刚度较弱(左侧、右侧两个正方形刚片串联),故δ22>δ11;同时当X2作用点发生向右的水平侧移时,X1方向上两铰接点间的距离变小,即δ12>0。
解法二:根据图示静定基本机构作出N1图和N2图,如图所示。

则可得:








