题目详情

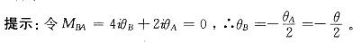
图示梁AB,EI为常数,固支端A发生顺时针的支座转动θ,由此引起的B端转角为:

  • A.θ,顺时针
  • B.θ,逆时针
  • C.θ/2,顺时针
  • D.θ/2,逆时针<img src='http://tp.mxqe.com/data/809/13813558_0.jpg' alt='机械动力类,章节练习,结构力学' title='机械动力类,章节练习,结构力学'>

正确答案及解析

正确答案
D
解析

机械动力类,章节练习,结构力学

你可能感兴趣的试题

单选题

机械动力类,章节练习,结构力学

机械动力类,章节练习,结构力学

  • A.1∶1
  • B.1∶(-1)
  • C.1∶2
  • D.1∶(-2)
查看答案
单选题

机械动力类,章节练习,结构力学

机械动力类,章节练习,结构力学

  • A.见图A
  • B.见图B
  • C.见图C
  • D.见图D
查看答案
单选题

机械动力类,章节练习,结构力学

  • A.见图A
  • B.见图B
  • C.见图C
  • D.见图D
查看答案
单选题

机械动力类,章节练习,结构力学

  • A.0.65cm
  • B.4.02cm
  • C.0.223cm
  • D.0.472cm
查看答案
单选题

机械动力类,章节练习,结构力学

机械动力类,章节练习,结构力学

  • A.见图A
  • B.见图B
  • C.见图C
  • D.见图D
查看答案

相关题库更多 +