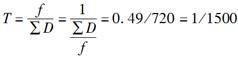
已知某导线全长为S=720m,测得其纵坐标增量闭合差fx=+0.09m,横坐标增量闭合差fy=-0.47m,则导线的全长相对闭合差为( )。
- A.1/2500
- B.1/1900
- C.1/1500
- D.1/1300
正确答案及解析
正确答案
C
解析
由于导线边长观测值中有误差,故而角度观测值虽然经过导线角度闭合差的调整,但仍有剩余的误差。因此,由边长、方位角推算而得的坐标增量也有误差,从而产生纵坐标增量闭合差fx和横坐标增量闭合差fy。fx=∑Δx测-∑Δx理,fy=∑Δy测-∑Δy理,长度f为导线全长闭合差

导线全长相对闭合差








