已知A、B点坐标分别为xA=118.13m,yA=922.12m;xB=151.45m,yB=976.36m;则坐标方位角αBA应为( )。
- A.-238°26′14″
- B.-56°26′14″
- C.56°26′14″
- D.238°26′14″
正确答案及解析
正确答案
D
解析
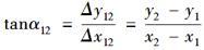
根据解析法的坐标反算公式可得,两点间连线的坐标方位角和坐标增量之间的关系是:

代入数据:

解得αBA=238°26′14″。
已知A、B点坐标分别为xA=118.13m,yA=922.12m;xB=151.45m,yB=976.36m;则坐标方位角αBA应为( )。
根据解析法的坐标反算公式可得,两点间连线的坐标方位角和坐标增量之间的关系是:

代入数据:

解得αBA=238°26′14″。