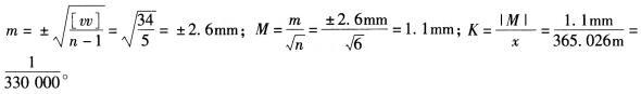
丈量一段距离6次,结果分别为365.030m,365.026m,365.028m,365.024m,365.025和365.023。则观测值的中误差及算术平均值的中误差和相对中误差分别为( )。
- A.±2.4mm,±1.0mm,1/360000
- B.±1.0mm,±2.4mm,1/150000
- C.±1.1mm,±2.6mm,1/140000
- D.±2.6mm,±1.1mm,1/330000
正确答案及解析
正确答案
D
解析

丈量一段距离6次,结果分别为365.030m,365.026m,365.028m,365.024m,365.025和365.023。则观测值的中误差及算术平均值的中误差和相对中误差分别为( )。
