题目详情

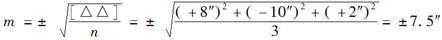
观测三角形内角3次,求得三角形闭合差分别为+8″、-10″和+2″,则三角形内角和的中误差为(  )。

  • A.±6.7″
  • B.±7.5″
  • C.±9.2″
  • D.±20″

正确答案及解析

正确答案
B
解析

中误差是指有限次观测的偶然误差求得的标准差,即三角形内角和的中误差为:

土木建筑类,章节练习,基础复习,工程测量

你可能感兴趣的试题

单选题

机械动力类,章节练习,结构力学

机械动力类,章节练习,结构力学

  • A.1∶1
  • B.1∶(-1)
  • C.1∶2
  • D.1∶(-2)
查看答案
单选题

机械动力类,章节练习,结构力学

机械动力类,章节练习,结构力学

  • A.见图A
  • B.见图B
  • C.见图C
  • D.见图D
查看答案
单选题

机械动力类,章节练习,结构力学

  • A.见图A
  • B.见图B
  • C.见图C
  • D.见图D
查看答案
单选题

机械动力类,章节练习,结构力学

  • A.0.65cm
  • B.4.02cm
  • C.0.223cm
  • D.0.472cm
查看答案
单选题

机械动力类,章节练习,结构力学

机械动力类,章节练习,结构力学

  • A.见图A
  • B.见图B
  • C.见图C
  • D.见图D
查看答案

相关题库更多 +