题目详情

梁的截面尺寸扩大一倍,在其他条件不变的情况下,梁的强度是原来的多少倍?

  • A.2
  • B.4
  • C.8
  • D.16

正确答案及解析

正确答案
C
解析

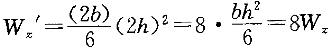
提示:以矩形截面为例,军队文职物理,章节练习,基础复习,材料力学,梁的最大正应力相应减少为原来的1/8,强度是原来的8倍。

你可能感兴趣的试题

单选题

机械动力类,章节练习,结构力学

机械动力类,章节练习,结构力学

  • A.1∶1
  • B.1∶(-1)
  • C.1∶2
  • D.1∶(-2)
查看答案
单选题

机械动力类,章节练习,结构力学

机械动力类,章节练习,结构力学

  • A.见图A
  • B.见图B
  • C.见图C
  • D.见图D
查看答案
单选题

机械动力类,章节练习,结构力学

  • A.见图A
  • B.见图B
  • C.见图C
  • D.见图D
查看答案
单选题

机械动力类,章节练习,结构力学

  • A.0.65cm
  • B.4.02cm
  • C.0.223cm
  • D.0.472cm
查看答案
单选题

机械动力类,章节练习,结构力学

机械动力类,章节练习,结构力学

  • A.见图A
  • B.见图B
  • C.见图C
  • D.见图D
查看答案

相关题库更多 +